I
Javno vas pozivam i zahtijevam u ime Inicijative Maskama, zatvaranju i cijepljenju STOP! da dostavite dokaze o proglašenju epidemije u roku od sedam dana, znači, zaključno s 20. siječnjem 2021. Istodobno, tražimo da sve dokaze prezentirate na prvom programu HTV u terminu od 20 do 22 sata. Ako imate dokaze, prepustite ih svojim stručnjacima da ih javno prezentiraju našem stručnom timu, koji je osnovan u Inicijativi Maskama, zatvaranju i cijepljenju STOP!
S obzirom na činjenicu da je epidemija proglašena na temelju PCR testa koji nije prikladan za dijagnozu i s neospornom činjenicom da test ne određuje vrstu virusa, smatramo da je epidemija proglašena bez dokaza.
Na temelju gore navedenog, očekujemo i tražimo od vas znanstveno laboratorijske dokaze o prisutnosti virusa SARS-CoV-2 u Republici Hrvatskoj pozitivnog na PCR i tzv. brze testove na antigen.
II.
Ako ne raspolažete čvrstim znanstvenim dokazima, očekujemo da ODMAH opozovete epidemiju i sve mjere koje ste uveli raznim uredbama. Uredbe su neustavne, jer sam zakon koji bi regulirao pitanja koja provodi Vlada Republike Hrvatske, a sve su „uglavljene“ u Zakon o zaštiti pučanstva …. , ne može biti izvorište za izvanredno stanje koje evidentno imamo. Sve što trenutno provodite u Republici Hrvatskoj je diktatura. Što se tiče ovog drugog, predlažem da se proglasi da se vladavina zakona koja je uspostavljena još od rimskih zakona ne odnosi na vas. Tako ćemo razumjeti vašu šutnju, jer upravo to očekujemo.
Inicijativa Maskama, zatvaranju i cijepljenju STOP! dio je ljudi koji imaju vlast u Republici Hrvatskoj i izvršavaju je izravno, kao što je jasno napisano u članku 1. Ustava Republike Hrvatske.
Članak 1.
Republika Hrvatska jedinstvena je i nedjeljiva demokratska i socijalna država.
U Republici Hrvatskoj vlast proizlazi iz naroda i pripada narodu kao zajednici slobodnih i ravnopravnih državljana.
Narod ostvaruje vlast izborom svojih predstavnika i neposrednim odlučivanjem.
S obzirom da su poluge odlučivanja oduzete narodu 1. srpnja 2013. kad je Republika Hrvatska postala tada 28. članica Europske unije, kada smo izgubili suverenost, te izmjenom Zakona o referendumu kojim Vlada ograničava referendumska prava, koja su sadržana u Ustavu Republike Hrvatske, ne preostaje nam ništa drugo nego izraziti volju naroda, jer mi odlučujemo, a ne vi koji ste uzeli sve što smo imali. Republika Hrvatska je naš dom. Mi smo u svom domu i ne dopuštamo vam da radite protiv naše volje. Ako je tako, a vi ste navikli na to, vaša vladavina se bliži svom kraju.
III.
Ako to ne učinite u traženom roku ili nemate dokaze, tražim od vas da javno kažete da te dokaze nemate i da je epidemija laž jer na pisani zahtjev od 14.12.2020. ne želite još uvijek jasno i nedvosmisleno odgovoriti.
Ako zanemarite ovu Javnu objavu i to ne učinite, razumno ćemo zaključiti kako nemate dokaze i da su sve mjere neutemeljene, nevaljane i u suprotnosti s ljudskim pravima koja su nam zajamčena kako Ustavom Republike Hrvatske tako i međunarodnom Općom deklaracijom o ljudskim pravima.
U tom slučaju zahtijevamo da ODMAH povučete odluku o proglašenju epidemije i sve mjere koje ste poduzimali temeljem sad već preko stotinjak i više nezakonitih odluka, temeljem uredbi. Istodobno, pozivamo vas da odmah zaustavite cijepljenje kontroverznim tzv. cjepivima, supstancama, čije su nuspojave utvrđene te su velika opasnost za zdravlje i život našeg stanovništva.
Ako ne udovoljite ovom zahtjevu, epidemija će biti otkazana izravnom voljom naroda sukladno članku 1. Ustava. U ime inicijative, opet voljom naroda, tražit ćemo i smjenu i odgovornost Vlade i svih čelnika Nacionalnog stožera i suradnika kao i Županijskih stožera, te i ostavke i odgovornost svih uključenih u tzv. vladinu COVID – ekipu.
U Zagrebu, 13. siječnja 2021.
Predstavnica Inicijative Maskama, zatvaranju i cijepljenju STOP!
Mr. sc. Arna Šebalj, dipl. iur.
Zašto ovaj Javni zahtjev?
Zato jer mjesec dana – uz sve smicalice kojima se služi Ministarstvo zdravstva i HZJZ – nije moguće dobiti odgovore upućena im na očitovanje. Čak i jučerašnji telefonski razgovori ne obećavaju, a kako to izgleda, pročitajte sve:
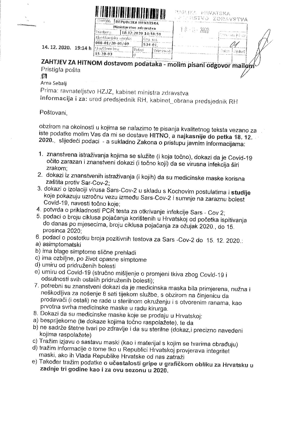
Poštovani, obzirom na okolnosti u kojima se nalazimo te pisanja kvalitetnog teksta vezano za iste podatke molim Vas da mi se dostave HITNO odgovori, a najkasnije do petka 18. 12. 2020., – a sukladno Zakona o pristupu javnim informacijama:
- znanstvena istraživanja kojima se služite (i koja točno), dokazi da je Covid-19 očito zarazan i znanstveni dokazi (i točno koji) da se virusna infekcija širi – zrakom;
- dokazi iz znanstvenih istraživanja (i kojih) da su medicinske maske korisna zaštita protiv Sar-Cov-2;
- dokazi o izolaciji virusa Sars-Cov-2 u skladu s Kochovim postulatima i studije koje pokazuju uzročnu vezu između Sars-Cov-2 i sumnje na zaraznu bolest Covid-19, navesti točno koje;
- potvrda o prikladnosti PCR testa za otkrivanje infekcije Sars – Cov 2;
- podaci o broju ciklusa pojačanja korištenih u Hrvatskoj od početka ispitivanja do danas po mjesecima, broju ciklusa pojačanja za ožujak 2020., do 15. prosinca 2020;
- podaci o postotku broja pozitivnih testova za Sars -Cov-2 do 15. 12. 2020.:
a) asimptomatskiima blage simptome slične prehladi
c) ima ozbiljne, po život opasne simptome
d) umiru od pridruženih bolesti
e) umiru od Covid-19 (stručno mišljenje o promjeni tkiva zbog Covid-19 i odsutnosti svih ostalih pridruženih bolesti); - potrebni su znanstveni dokazi da je medicinska maska bila primjerena, nužna i neškodljiva za nošenje 8 sati tijekom službe, s obzirom na činjenicu da prodavači (i ostali) ne rade u sterilnom okruženju i s otvorenim ranama, kao prvotna svrha medicinske maske u radu kirurga.
- Dokazi da su medicinske maske koje se prodaju u Hrvatskoj:
a) besprijekorne (te dokaze kojima točno raspolažete), te da
b) ne sadrže štetne tvari po zdravlje i da su sterilne (dokaz,i precizno navedeni kojima raspolažete)
c) Tražim izjavu o sastavu maski (kao i materijal s kojim se tvarima obrađuju)
d) tražim informacije o tome tko u Republici Hrvatskoj provjerava integritet maski, ako ih Vlada Republike Hrvatske od nas zatraži
e) Također tražim podatke o učestalosti gripe u grafičkom obliku za Hrvatsku u zadnje tri godine kao i za u 2020.
Također Vas molim da me ne upućujete na DZS (Državni zavod za statistiku) jer on istima ne raspolaže (provjerila sam već).
U ovom Zahtjevu uredno sam upisala i svoju adresu što je neophodno za dobiti pristup informacijama. Isto je vidljivo na dokumentu koji su mi kopirali sa žigom urudžbenog u Ministarstvu a koji su priložili uz dopis (preuzet mailom) u kojem me izvještavaju kako moj zahtjev delegiraju HZJZ i HALMED-u. To je bilo 18. 12. 2020. A kako bi kupili vrijeme poslali su – nepotrebno – sve isto i poštom što sam ja preuzela 5.01.2021.
HZJZ i HALMED isto su preuzeli 30.12.2020. Znači, zakonski rok su za dostavu dokumentacije „ukrali“, za sad već punih 15 dana. Vrlo zanimljivo. Ali znamo i zašto.
No u svemu ovome ima još jedna nečuvena situacija, naime, sve do sad dobivene dokumente potpisuje netko u ime ministra Beroša „kvakom“ većom ili manjom, sa ili bez riječi „uz“, ali bez profesionalnog odnosa u poslu, znači, bez imena onoga koji potpisuje kao zamjena, „UZ“. Tko, temeljem istog na službenom dokumentu iz Ministarstva zdravstva može znati tko to čini? Kaže ministrova tajnica, vidno uzrujana u svakom telefonskom razgovoru, kako je potpis državnog tajnika (ako ne griješim) deponiran, i baš je takav. Ma, svaka mu čast! Ali, nije samo jedan, dva potpisa – kvake, „kruže“ kao potpisi na dokumentima koje potpisuje ministar Beroš.
A kako to izgleda zanimljivo je vidjeti.
Što je u tome problematično, ili, što tek može biti problem?
Znate za potpise putnih naloga u bivšoj Vladi? Tko ne zna! Ali znamo i kako brojni grafolozi utvrđuju istinu. Pitanje je i danas, nakon prvostupanjske (nepravomoćne) presude je li bivši šef kabineta bivšeg predsjednika Vlade to potpisao ili nije? Nije jasno, a ako je politika odradila svoje onda se ne čudimo što mu se dogodilo.
Stoga bi trebalo zakonom zabraniti potpisivanje osobnog imena škrabotinama i kvakama jer to nije potpis. U ovom slučaju potpisivanja razne dokumentacije u ime ministra Beroša jasno je da ni grafolozi nemaju šanse isto razriješiti. Isto tako je jasno kako se sve ovo radi samo zbog jedne okolnosti: danas-sutra, a i to će uslijediti, izbjegavanja odgovornosti ministra Beroša. Nismo baš tako naivni. Nažalost, ovako se radi i u svim ostalim državnim institucijama.
I, sad poziv svima koji su spremni sudjelovati u ostvarenju naše zajedničke budućnosti i obustavi pLandemije koju zahtijevamo ODMAH, a najkasnije po isteku roka datog u ovom Javnom zahtjevu.
To podrazumijeva ukidanje tzv. zatvaranja svega što je nezakonito i bez utemeljenih dokaza zatvoreno, ukidanja nošenja dokazano štetnih po zdravlje maski kao i ODMAH obustavu cijepljenja supstancama dokazanih štetnih sastojaka po zdravlje, opasnih za život cjelokupnog stanovništva, a kako je navedeno u kaznenoj prijavi upućenoj DORH-u i Međunarodnom kaznenom sudu u Haagu 21. 12. 2020. u kojoj je traženo:
„Oduzimanje predmeta mjera je proceduralne prisile dvojake prirode. S jedne strane, namijenjen je osiguranju sigurnosti ljudi, a s druge strane, to je i mjera za pružanje dokaza.“
https://www.logicno.com/politika/kaznene-prijave-za-dorh-i-haag-predane.html
Da li će stići odgovori iz HZJZ i HALMED-a na koje je Ministarstvo zdravstva i ministar Beroš delegirao moj Zahtjev?
Nakon jučerašnjih telefonskoh razgovora, ne vjerujem.






Pogledajte i širite istinu svi vi, pogledajte dok nisu i ovo obrisali ” veliki ” !!
https://www.youtube.com/watch?v=7wc-5_kbzDg
Corona fašizam se ne može zaustaviti mirnim putem
unaprijed se ispricavam..nakon citiranja prvih stavki hrvatskog ustava nisam dalje citao.hrvatski ustav je nebitan i pozivanje na njega je besmisleno.kao i pokusaj civiliziranim nacinom prekinuti ovo ludilo.podsjeca me na festival slobode.dajte,molim vas..ovo moze stati,mozda za koji mjesec,ako narod sam pocne da se budi..kad vidi vece cijene,praznije police,bijedu u nadolasku..a posebno iznenadne zdravstvene probleme kod svojih bliznjih.posebno starijih.a narod mozes probuditi hladnim tusem,nikako drukcije.isprike jos jednom.hvala.
Ovo ni jedna TV kuća neće ni spomenuti. Pravit će se blesavi svi skupa par dana, a dotad će sigurno iskrsnuti nešto što će okupirati prazne glavice.
Zašto bi hrvati bili protiv cijepljenja? Pa šta nije u slobodarskoj rusiji Putin sproveo obavezno cijepljenje, a kome se moze vjerovati ako ne Putinu
ANGLO SAXON MISSION je ime videa postavljenog na youtube prije 11 godina. Original tog videa je izbrisan od youtube fašista početkom prošle godine. U videu je opisan scenarij u kojem se istovremeno vrsi globalni teroristicki napad super-virysom na covjecanstvo i bacaju nuklearne bombe na Iran. Izvor iz kojeg je taj scenarij iscurio : jedan masonerijski kruzok na kojem se cerekalo nakon sto je jedan od govornika rekao kako ce Kinezi dobiti poklon u obliku super-prehlade s cime ce zapoceti ostvarivanje njihovog scenarija. Ja gledao taj video u originalnoj verziji, a mislim da kopiju tog videa mozete vidjeti i na mojem youtube kanalu, idem provjeriti….Evo ga, insert iz tog filma mozete vidjeti u ovom mojem videu https://youtu.be/bbp96ktgV4M Pocetak u 7oj min videa, kraj u 14oj min videa…Da taj insert je preuzet iz videa objavljenog prije 11 godina i vjerojatno vise ne mozete naci niti jednu kopiju tog videa na youtubeu jer su sve… Čitaj više »
Živ dokaz da su žene postale mudašice, a današnje rvatine muškarčine teške pičkice. Čast iznimkama.
Teško bar što se PCR-a tiće jer je WHO rekao da je neadekvatan.
Ma je li to onaj mali Vili (Mili Vanili) Beroš koji se odbio cjepiti a nas bi sve cijepio
Velika podrška gospođi Šebalj, žena se bori svim raspoloživim sredstvima cijelim svojim bićem. Treba pokušati sve moguće i stalno ih držati na nišanu. Jednom će i okinuti figurativno rečeno.
referendumska prava,
da pokušamo s tim?
U Norveškoj umrle 23 osobe nakon vakcinacije …
https://rs.sputniknews.com/evropa/202101141124375139-u-norveskoj-preminulo-23-osobe-nakon-primanja-vakcine-fajzer-biontek
Provjerio i na njihovom zvaničnom sajtu … Državna agencija za ljekove (legemiddelverket.no)
https://legemiddelverket.no/nyheter/meldte-bivirkninger-etter-koronavaksine-pr-14-januar-2021
ne mogu hrvatska vlada i stožer donijeti odluku od kraju pandemije i ukidanju mjera, čak kada bi to i željeli, jer se njih ništa ne pita. Glavni centri mafije odakle se sve naređuje su FED , Wall Street, CFR i WEF. Sporedni centri su UN, EU, WHO, i ostale “službene” organizacije i institucije. Možda bi netko iz vlade ili ostalih odgovornih i pokušao nešto, ali ne smije, jer zna što ga čeka: prometna nesreća sa smrtnim završetkom, iznenadni srčani udar ili nešto treće. Pa ovaj je portal ovdje izvjestio o trojici relativno visoko pozicioniranih njemačkih dužnosnika, koji su iznenada umrli, nakon što su kritizirali mjere. Među njima je bio i glasnogovornik SPD-a, inače tek 60-ak godina star i potpuno zdrav, odjednom pao ko pokošen , kolabrirao i mrtav. Scenarij plandemije i izvršenje tog scenarija, još to izgleda kao čvrsti monolitni zid.. Međutim, taj zid već polako počinje dobivati manje pukotine.… Čitaj više »
Vaši tekstovi uvijek zanimljivi, svaka čast odlično pisano 🙂
Dakle logičari…većina vas je punoljetnih pretpostavljam…kao ozbiljne osobe, a vjerujem da je većina takvih…apeliram na vas da se osvijestite i stavite u fokus stvarne potrebe i probleme u vremenu u kojem se nalazimo..i prestanete tražiti dlaku u jajetu nekakvom navodno sumnjivom cijepljenju te se ugledate na vladu Republike Hrvatske, koja, eto kako novinarka HRT-a objašnjava u prilogu iz Petrinje, upravo osigurava distribuciju posebne anti-stresne hrane namijenjene životinjama na potresom pogođenom području, a u cilju pomaganja životinjama da se lakše nose sa traumom potresa. Hvala.
Arna, podhitno morate osnovati kompletan anti-trust pravni tim pojačan s znanstvenom zajednicom (mislim na legitimine znanstvenike i stručnjake koji masovno izlaze u medijima (Sladoljev, Gajski, Hadži-Tanović, Markovski a i odnedavno Bakić, Lauc itd.- znate i bolje od mene). Ako ljudi vide da je pravni temelj solidan, onda će vam i pristupiti. Kontaktirajte Fuellmicha i neka vas uputi u proces, a možda i partnerstvo (kao ogranak). Ako Vam trebaju donacije iskoordinirajte preko svih alt-medija (paralelno plasirajte isti apel za donacije) i vjerujte mi skupit će te koliko god vam treba. Ako idete sami u ovu bitku, garantiram vam da će te izgubiti. Nemojte se bazirati na borbu protiv države na svim frontama nego igrajte na najslabiju kariku, odnosno ono što je znastveno najlakše oboriti (PCR npr). Nemojte misliti da su apsolutno svi koji rade u javnim službama korumpirani – većina funkcionira na temelju inercije i boli ih ona stvar – dok… Čitaj više »
koji jebeni clanak, svaka cast kreatorima..tko ovo ne prosiri nije covjek..
Hvala vam,Arna.Kako god imate neobično, rijetko ime, tako ste neobično hrabra,pametna i humana.Rekla bih- i opasna, za onog tko vam se zamjeri, neka jeste, i treba da jeste!
Ako je u Hrvatskoj proglašena epidemija, zašto nije objavljena u Narodnim novinama?
Ovo sto sad citam mi je tako uljepsalo dan I treba ih stvarno zigosati za sva nedjela sto su narodu napravili. Problem je sad sto su ovo stanje napravili globalni igraci I ovi paraziti ih slijepo slusaju ,normalno za vlastitu korist. Da se uspije nesto promijeniti u Hr i nadam se kad se uspije,a to znaci maknuti ih s vlasti I sve njihove satelite onda treba izaci I iz EU I Nato-a I pokusati izgraditi ponovo domovinu I biti pametniji sa ovim 25 godisnjem iskustvom od rata.
Svaka Vam čast Arna!
Boze, zar ovakvi trolčići stvarno postoje?
Ovi vasi upiti su sjajni. Tribalo bi ukljucit ljude u ovo da daju stogod vise od moralne podrske. Ljudi bi tili sudjelovat u tome. Tako ce te i vi bit jaci.
Potencijala ima.
Svaka čast, evo 2 dana znam za ovaj portal i jednostavno NE VJE RU JEM, u principu nestajem dok nepročitam sve, na pola mojih sumnji sam dobio potvrdu. Ja se cijelo vrijeme pitam: Pa zar su svi toliki idioti da neshvaćaju šta im se pred očima događa.
Još jednom svaka čast i samo tako nastavite/ i mi svi skupa, kapa dole!
ttps://norwaytoday.info/news/norwegian-medicines-agency-links-13-deaths-to-vaccine-side-effects-those-who-died-were-frail-and-old/
Već sam naslov govori o 13 mrtvih nakon cijepljenja, ali kad počneš čitati, onda shvatiš da su 23 smrti povezane sa cjepivom protiv korone.
Ovih 13 su bili stari i bolesni, ali to samo znači da je onih ostalih 10 bilo zdravo i vjerojatno mlađe.
Kao dio post-covid “novog normalnog” u Kini, koju su mnogi napadali na Zapadu zbog politike zaključavanja, neki građani sada moraju skenirati aplikaciju za praćenje vlade prije nego što je dopušteno ponovno ući u vlastite domove. https://www.infowars.com/posts/new-normal-chinese-citizens-have-to-scan-a-tracking-app-to-re-enter-their-own-homes/ Još kada se tome doda i sustav za bodovanje preko više milijuna kamera koje snimaju sve kineze, slika robovskog Novog Svjetskog Poretka u Kini je potpuna. “Verovali ili ne – nelogičnost kineske državne politike je samo u tome što ona odavno više nije suverena država već samo jedna od kolonija kojom upravljaju zapadnoevropski vlastelini podeljeni u više trgovačkih kartela. Kina je svoju suverenost izgubila još pre 150 godina, a komunistička “kulturna revolucija” je bila smišljeno temeljno podrivanje kineske društvene zajednice (promenom kulta) pri čemu je skoro milijarda Kineza prošla veoma studiozno napravljen program “ispiranja mozga” stvaranjem Fabijanskog društva. Da američka visoka tehnologija, kapital kao i ogroman broj radnih mesta američkih građana pređe u Kinu… Čitaj više »
Ovaj poziv bi imao smisla da je Hrvatska suverena država koja poštuje slobodnu volju jedinog legitimnog Suverena (naroda). U stvarnosti, Hrvatska nikada nije bila Suverena, nikada nije preuzela kontrolu nad monetarno finansijskom politikom, a o vanrednom stanju odlučuju drugi (NATO). O politici prema Koroni Hrvati i njeni KAPO političari ne odlučuju, nego samo izvršavaju Volju Velikog Inkvizitora
Je.be mi se živo
Slucajevi opasnih reakcija na cjepivo se poprilicno cenzuriraju sa interneta, nekim cudom ovaj video je opstao
https://youtu.be/GotVR8ro9OA
Iako je njena FB stranica nedavno obrisana, navodno od strane FB-a
..na zapadu ista priča…
Poštovanje g-djice/g-djo Šebalj.Hrabriji ste i odlučniji od mnogih koji samo razgibavaju prste na tastaturi.Bogu hvala,broj Vama sličnih ljudi koji znaju o čemu govore, u okruženju i samoj Hrvatskoj, raste iz dana u dan.I ne samo da govore,već i čine konkretne korake ka nečemu što vodi ka spašavanju golih života obespravljenih naroda.Želim pridodati i inicijativu koja se preuzima u slučajevima sve većeg broja umrlih lekara,nakon vakcinisanja,širom okruženja.Svako dobro želim.
U Juz.Koreji , gotovo 100 umrlih nakon cijepljenja za sezonsku gripu.
Izvor: https://news.cgtn.com/news/2020-11-07/South-Korea-s-flu-vaccine-death-toll-approaches-100-Vefafx1knS/index.html
Ok,i što sad?Oni se prave blesavi i ignoriraju vaše zahtjeve.Tako igra može trajati unedogled.Postoji li mehanizam ,uopće,kojim ih se može natjerati da daju odgovore?
Sherat što većem broju gojima!
“I, sad poziv svima koji su spremni sudjelovati u ostvarenju naše zajedničke budućnosti i obustavi pLandemije koju zahtijevamo ODMAH, a najkasnije po isteku roka datog u ovom Javnom zahtjevu.
To podrazumijeva (…………)” – i tu je bilo za ocekivati prijedlog neke KONKRETNE AKCIJE tipa peticije, ali to nismo dobili. 🤔 Mislim, ako
pasus počinje “poziv svima koji su spremni sudjelovati”, onda treba i navesti – u ČEMU to sudjelovati, je tako? Ipak je poziv upućen SVIMA, pretpostavljam SVIMA DO KOJIH OVA INICIJATIVA DOĐE=GRAĐANIMA RH? Samo fali ta “točka na i”, ako se ne varam?
Lp, super inicijativa, podrzavam ideju!
Molim vas da mi logički odgovorite na upit o nelogičnom u LOGIČNOM?Reklamiraju seobrazine na Portalu koji je opravdano do sada osporavao zdravstvenu razložnost stavljanja tih krinki na vlastita lica . PS:Moguće je opravdanje iz rakursa posljedične ili utilitarne etike.
Javno treba zamoliti stožer Civilne Zaštite koji prati zdravstvenu krizu da uz broj pozitivnih, oboljelih i umrlih od Covid-19 svakodnevno objavljuju brojeve oboljelih i umrlih od karicnoma, broj pozitivnih i oboljelih na hepatitis a-b-c i gdje se nalaze zaraženi, također dnevni broj umrlih od kardiovaskularnih boletsti sa moždanim udarom. HVALA !
Pa zar i ti sine Brute???
Zašto a imate mogućnost ne postavite PITANJE : Kako je moguće da su 2 (dvije) godine prije plandemije sve države svijeta uvezle PCR testove i dr. za Covid 19 Zašto o tome nije bila obaviještena javnost itd, itd. Sve imate službeno na službenim stranicama WHO.
Nemojte samo reći da niste znali. Sad već treću kalendarsku godinu o tome govorim. Ja običan čovjek anonimus.
Neki se bore za nas ,a većina spava boli ih neka stvar koga briga za potomstvo pa važno ih je bilo samo napraviti !!!!;;;
zovu me zlatko iz obitelji abrlić ,a kako se ti zoveš ime i prezime ,ajde objavi pa da porazgovaramo,kukavički trolu
Deseci tisuća tvrtki i poduzetnika širom Italije izjavilo da namjeravaju pridružiti se inicijativi “#Ioapro” (“#Jaotvaram”)
trebalo bi i kod nas , otvoriti paralelni sustav , dućani, kafići ,mesnice , ko ima masku nemože ući , taj je maskirani razbojik.
Kada zavrsi ovaj Covidgate, ipak treba uvesti obavezeno cijepljenje za sve iulz stozera, prepisivace s mainstream medija, te sve pojedince koji su sudjelovali u svemu ovome i propagiraju cijepljenje. Nakon toga ih za svaki slucaj sve osuditi na dozivotnu robiju
Ne sluzite zlocincima. Nemojte se testirati! Kroz te brojke navodno pozitivnih podkrepljuju plandemiju. Gos. Arna svaka cast!
Poštovani, verujte da i Srbiju jednako zanima odgovor na zahtev koji jeuputila vaša asocijacija na čelu sa G-đom Sebalj, jer i kod nas je haotično kao u svakoj “BANANA DRŽAVI” koja je nastala iz EX YU. Uzgred sugerišem svima da prvo prouče ZAKON O LJUDSKIM PRAVIMA koji je posle drugog svetskog rata nastao u Nimbergu a što se smatra temeljem svih naknadnih međunarodnih dokumenata koji tretiraju temu ljudskih prava.Pozdrav svima dobre volje i ispravnih stremljenja iz Srbije i podrška vašem portalu.
Nije moguće da je netko dao za ovaj članak ocjenu ispod 5.0!!!!
Kako se možemo priključiti ovoj inicijativi?
novo. Icke. //www.bibliotecapleyades.net/ciencia3/ciencia_coronavirus340.htm#Vaccines%20Depopulation
ako budemo i dalje dozvoljavali i dalje ce nas guziti
Moje svjedočanstvo o tome kako sam postao član Iluminata. Želim reći ljudima koji se žele pridružiti velikim Iluminatima da znaju kako mi je veliki član Iluminata pomogao. Njegovo ime je Lord Morgan. Pomaže mi da se vratim iz faze smrti. Otpušten nakon otprilike 5 godina i šest mjeseci. Nakon što su ga izdali toliki članovi Iluminata. Tijekom godina bio sam beznadan i financijski na podu. Ali jednog dana surfajući internetom, naišao sam na objavu člana Velikog Iluminata, Lorda Morgana, i rekao da ako ste član Velikih Iluminata, možete biti slavni, bogati i uspješni u životu. Odmah sam kontaktirao i sve sam mu objasnio i on me preporučio i pomogao, a ja sam platio obrazac za registraciju članstva koji je korišten da me iniciraju i bio sam iniciran u veliki novi svjetski poredak Iluminata. Nakon toga su mi dali sve smjernice i rekli mi da će nakon inicijacije svi novi članovi… Čitaj više »